Pozitivní body zlomu: část první
Co jsou a jak fungují?
Amazonský prales, arktický ledovec nebo sibiřský permafrost. Klíčové ekosystémy regulující světové klima (climate tipping elements), o kterých jsem psal v posledním big readu, se teď ocitly v zóně zlomu. Nikdo neví, jestli už nepřekročily hranici, za kterou je čekají náhlé, sebeposilující a nevratné změny s potenciálem spustit kaskádový efekt napříč Systémem Země (Earth System). Je těžké to přijmout, ale rizika pro stabilitu klimatu nerostou lineárně – zrychlují se s rostoucí koncentrací skleníkových plynů v atmosféře. Je to proto, že klíčové ekosystémy mohou v budoucnu překročit svůj bod zlomu, za kterým přestanou podporovat stabilitu komplexního Systému Země.
To byly poznatky nejen vědecké konference Global Tipping Points 2025, o jejímž nabitém obsahu bude znovu řeč, ale i 6. zprávy Mezinárodního panelu pro změnu klimatu (IPCC) z roku 2022. IPCC se bodům zlomu věnoval a třikrát podtrhl z nich plynoucí „naléhavou potřebu hlubokého, rychlého a setrvalého poklesu emisí skleníkových plynů pro omezení růstu teploty na 1,5°C, což znamená snížit světové emise do roku 2030 o minimálně 43 % oproti roku 2019”.
Pokles o 43 % do roku 2030 - to znamená každoročně o 4,5 %. Bohužel, tenhle Substack nevznikl proto, že se to daří. Naopak.
Světové emise od varování IPCC poklesly celkově pouze o 1,1 %.1 Pokles je fajn, pokles potřebujeme. Ale tímhle tempem by nám to trvalo asi 86 let. My máme plus minus 4 roky.

Tzv. overshoot, tj. přinejmenším dočasné opuštění bezpečné zóny pro lidstvo (safe operating space for humanity), je v klimatologii považován za prakticky hotovou věc. Riziko destabilizace klimatu a rozpadu biofyzikálních procesů, které umožnily vznik civilizace v holocénu, tak dočasně prudce narůstá.
Já jsem ale minule slíbil, že tento díl bude optimističtější. Důvodem k optimismu nemusí být jen fakt, že papež Lev XIV. nedávno požehnal bloku ledu…
… ale i skutečnost, že i lidská společnost je komplexní systém. A ve všech komplexních systémech může nastat bod zlomu, který systém nekontrolovaně přehoupne do úplně nového stavu. Právě tomu se říká pozitivní bod zlomu (positive tipping point - PTP). Historie zná příklady: zrušení otroctví, otevření univerzit ženám v USA, zákaz kouření na veřejnosti v Evropě – to vše jsou systémové změny, které nenastaly pozvolna, ale náhle.
Trochu jako domino. Ale ani tak jako domino…
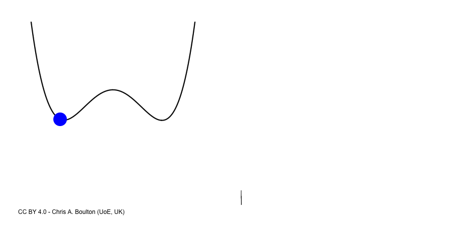
… jako spíše domeček z karet. Jak by pozitivní body zlomu fungovaly? Připomínám, že komplexní systémy jsou charakteristické tím, že je v rovnováze udržují zpětnovazební smyčky. Systémová teoretička Donella Meadows přirovnává smyčky k termostatu: když se teplota sníží, systém začne topit; když stoupne, začne chladit. S tím souvisí termoregulace v lidském těle, kterou jsem zmiňoval posledně. Totéž platí pro sociální normy - třeba pravidlo slušného chování, že při čekání v řadě se nepřeskakuje. Kdo ho poruší, setká se s odsuzujícími pohledy a může být donucen ustoupit, což pravidlo upevní a odradí další devianty. V demokracii jsou zase základní stabilizující smyčkou svobodné volby: prezident nemá lhát - pokud lže, elektorát ho vystřídá za jiného, který raději lhát nebude, aby nebyl vystřídán taky. Všechno komplexní systémy, pokaždé stejný princip: deviace, zpětná vazba, korekce.

Deviace systém vychylují, korekce ho vrací zpět. Čím větší vychýlení systém zvládne, tím je odolnější. Pokud se vychýlí příliš – nebo je odolnost nízká – může nastat bod zlomu, kdy posilující smyčky převládnou nad vyvažujícími a systém zkolabuje. Například: když nikdo neokřikne předbíhajícího ve frontě nebo když lid neodvolá lháře z funkce. Protože když předskokana nikdo neokřikne a prezidenta-lháře lid nevymění, chování jim projde a oni získají výhodu nad ostatními. Podpořeni svou zkušeností, zkusí to příště znovu a tentokrát je následují další, kteří vidí, že to je výhodná strategie (sebeposilující zpětnovazební smyčka). Postupně se deviace stane normou – nový rovnovážný stav.
Tohle je negativní společenský bod zlomu, protože se prosadí (normativně) nežádoucí trend. Pozitivní společenský bod zlomu je přesný opak: nežádoucí trend se překlopí do žádoucího. Pro pozitivní bod zlomu se vytvoří podmínky, když v politické soutěži plné lhářů a v řadě, kde vyhrává právo silnějšího, najde se jeden nebo více deviantů, kteří vsadí na čestnost a podaří se jim uspět.
Někteří upozorňují, že první pozitivní body zlomu v řešení klimatické krize dnes můžeme pozorovat přímo před našima očima. Solární energetika nebo elektrická nákladní vozidla prý díky dosavadní státní podpoře natolik dominují hlavním světovým trhům a natolik je přetvořily, že v budoucnu převálcují fosilní alternativy i bez další státní podpory. Na konferenci Global Tipping Points to potvrzoval i technologický expert Simon Sharpe, který sebeposilující dynamiku ilustroval na příkladu solárních a větrných elektráren: čím více se jich staví, tím zajímavější jsou investice do baterií (ty vyrovnávají výkon v síti); čím více se staví baterií, tím více solárních a větrných elektráren síť unese a mohou se dále nasazovat. Přísun kapitálu navíc bateriovému průmyslu umožňuje využívat úspory z rozsahu, tím snižovat náklady a zlevňovat baterie sloužící nejen elektrické síti, ale i dalším sektorům, zejm. elektromobilitě. Nakonec i baterie v elektromobilech mohou při vhodných tarifech za elektřinu pomáhat síti vyrovnávat odchylky, což otevře prostor pro další elektrárny, a spirála se točí dál. Výhody se tedy přelévají z jednoho sektoru do druhého (spillover effects).

Dalším příkladem jsou elektromobily - bez aut nejsou nabíječky, bez nabíječek nejsou auta. Jakmile ale státní podpora začarovaný kruh prolomí, rozvoj elektromobility může začít probíhat samovolně: nové technologii se začne přizpůsobovat nejen infrastruktura, ale i profese (automechanici), lidé si začnou zvykat na tichá elektroauta v ulicích (passive peer effect) a cítit očekávání svého okolí, aby v elektroautě jezdili také (active peer effect). Poslední zmíněné studovali dva čínští výzkumníci. Zjistili, že průměrný šanghajský řidič má ve svém okolí asi 23 % řidičů, kteří jezdí v elektrickém autě. To pro většinu řidičů „spalováků” není dost, aby cítili tlak přesedlat na vůz elektrický. Jakmile však podíl stoupne na 31-40 %, stoupá i tlak vrstevníků a většina už příště elektromobil zvolí. Z toho odhadli, že šanghajské silnice jsou několik procentních bodů daleko od bodu zlomu, po kterém oblíbenost elektromobility strmě a nenávratně poroste.
Otázkou je, jestli se stejně razantně jako tyto technologie šíří i „udržitelný životní styl” - aktivní mobilita, pomalá móda, převážně rostlinný jídelníček, kompostování, omezení létání apod. Globálně určitě ne, ale zároveň určitě najdeme všude po světě (sub)kultury a ve velkých městech bubliny mladší a vzdělané střední třídy, kde je „udržitelný životní styl” (nebo co za něj považují) už dnes normou. Ostatně i u nás existuje výzkum, který upozorňuje na hluboce zakořeněné lidové praktiky ve střední Evropě (zahrádkářství, konzervování jídla, svépomocné opravování a kutilství, horská turistika apod.), které by mohly jít „udržitelnému životnímu stylu” všude ve světě za vzor a přitom je u nás nemusíme nikterak incentivizovat - dávno tomu, co se staly součástí naší kultury a alternativám po generace odolávají. Z nových vzorců chování se zdá, že bod zlomu už překonalo třídění recyklovatelného odpadu - jakkoli je asi ještě co dohánět v osvětě o třídění správném.2
To všechno zní slibně a slibné to je. Jak uznává jeden z hlasů konference Global Tipping Points doc. Manjana Milkoreit, „představa nelineární žádoucí systémové transformace nasedá na naději, že se z našeho ekologického predikamentu ještě nějak dostaneme.” Mohly by pozitivní body zlomu udržovat naději na udržitelnou budoucnost? Mohly by vlády šetřit velké množství peněz tím, že čisté technologie a vzorce chování dotlačí jen na hranu pozitivního zlomu a ty se dál budou samy vézt z kopce? Jedno je jisté: bez prvotního roztlačení se nové alternativy neuchytí. Viděli jsme to na příkladu elektromobility - oproti vozidlům se spalovacími motory násobně účinnější, v mnoha ohledech příjemnější technologie, kterou jsme schopni pohánět bez fosilních paliv, ale která na trhu čelí strukturálním nevýhodám (počáteční investice, chybějící infrastruktura, nezkušenost atd.). Elektromobily se nakonec prosadí samy, na začátku ale potřebují zásahy regulátora - někdy nazývané social tipping interventions (zásahy způsobující pozitivní body zlomu, STIs). Ostatně tak jako mnoho revolučních technologií, které se objevily v minulosti.
To nás vede k velké otázce: jaké STIs jsou tedy způsobilé docílit pozitivního bodu zlomu a spustit ve společenském systému sebeposilující smyčky, které jej zanechají v novém udržitelném ekvilibriu (anebo jej k němu aspoň přiblíží)? Ta otázka si pozornost zaslouží a zdá se, že bohužel přiláká mnoho pozornost-hledajících výzkumníků a aktivistů, ochotných slevit pro atraktivní odpověď ze svých intelektuálních nároků. Jak upozornila i Manjana Milkoreit, hrozí, že STIs se začnou zaměňovat za jakékoli systémové zásahy, které zní transformativně, nebo prostě jen dobře. Pro příklad nemusím chodit daleko. Na Global Tipping Points prezentoval svůj výzkum rakouský tým, který hledal social tipping interventions jednoduše tak, že… no že se zeptal expertů a expertek, co si myslí. Jakkoli jsou tyto konverzace potřeba, nemohou podle Milkoreit (a dalších) nahradit vědecké důkazy o tom, které zásahy jsou způsobilé pozitivních bodů zlomu docílit.
Otázek kolem pozitivních bodů zlomu je víc: Do jakého cílového stavu má systém přejít? Dá se pozitivní bod zlomu předpovědět? Jaké podmínky jej umožní? Na jaké systémové úrovni se o něj snažíme? Potřebujeme vůbec modely?
Můžete své odpovědi nasdílet ve společném chatu…
… anebo si je nechat uležet v hlavě, vrátím se k nim příští týden.
Budu podrobný, budu pedantský, budu místy nudný, ale výsledek udá jasný směrem komukoli, kdo jako já chce být součástí něčeho, co pomůže dosáhnout pozitivního bodu zlomu, než nastane ten ekologický.
Z ponoru do hlubin pozitivních bodů zlomu jsem se alespoň já nevynořil takový, jaký jsem byl předtím. Pojďte spolu se mnou probádat, co přesně se má zlomit, jak se takový pozitivní bod zlomu pozná, čím se spouští a proč samotná technologická změna nestačí. Uvidíte, že transformace se může šířit sociální sítí jako nákaza. Základem je nejdřív zvýšit citlivost systému oslabením vyrovnávajících smyček a vytvářet vhodné podmínky alternativám a kultivovat je, dokud systémové bariéry nezačnou praskat samy.
V pozitivních bodech zlomu se ukrývá naděje; ne však tam, kde bychom ji čekali. Jestli si myslíme, že si s jejich pomocí naplánujeme spolehlivou cestu k transformaci jako cestu turistického výletu, můžeme se zklamat. Nemáme společnou vizi budoucnosti, nemůžeme se spoléhat na empirické důkazy, pro modely nemáme dostatek dat, nemáme silné metody řízení a vládnutí a pracujeme se sociálním systémem, který je fundamentálně nepředvídatelný. K tomu víc příště. Taky ale uvidíme, že na ničem z toho vlastně nezáleží. Uvidíme, že nepotřebujeme jasný cíl na horizontu - jakkoli moc po něm naše modernistická mysl může toužit - pokud víme, jaké principy a hodnoty (např. regenerace, péče) nás k němu tak jako kompas dovedou a pokud je dokážeme integrovat do svých životů a do politik, které vytváříme - doma, na vesnici, v regionu, v zemi, na Zemi. Že ačkoli tolik potřebnou social tipping dynamics nedokážeme spolehlivě předvídat ani kontrolovat, můžeme každý den zvyšovat pravděpodobnost jejího spuštění. S pokorou vůči nejistotě a s vědomím, že transformace je dítě, pro které chceme to nejlepší - a že to nejlepší se mu začne dít až ve chvíli, kdy je pustíme z našeho úzkostlivého sevření.
Poznámka na konec: v září vyšla v Oxford University Press očekávaná kniha Positive Tipping Points: How to Fix the Climate Crisis od jedné ze světových špiček Earth System Science, prof. Tima Lentona.

Zajímají vás její doporučení, ale nestíháte číst? Podpořte Zónu zlomu drobným finančním příspěvkem. Díky vašim darům si mohu podobné knihy koupit, přečíst a shrnout zde hlavní sdělení.
Zónu zlomu můžete podpořit zasláním libovolné částky přes QR kód níže, na účet 2465983173/0800 nebo přes Wise (€) 💸
Díky!
Podle databáze EDGAR Community, asi nejspolehlivějšího informačního zdroje o emisích vůbec.
Míra používání recyklovaných materiálů za bodem zlomu není určitě - mezi lety 2010 a 2023 sice u nás postupně rostla z 5 % na 13 %, byl to ale jen lineární růst podpořený sadou legislativních, finančních a dalších nástrojů. Zatímco na konec skládkování je minimální politický tlak, stát přemýšlí, kde levně přijít k prvotním surovinám, např. pro stavebnictví.






